ON–061: DEXs
Mar 5, 2021

This is issue #61 of the on-chain analytics newsletter that reaches nearly 10k crypto investors every week 📈

1inch, whose v2 offers the best rates by discovering the most efficient swapping routes across all DEXes—swap on the customizable new UI. And also Aave, where you can experience DeFi: Deposit, Earn, & Borrow on Aave.
Before we dive into this week’s project coverage, I wanted to call attention to some exciting team-building developments we’re announcing today at Variant:
- Aave founder Stani Kulechov joins us as Venture Partner 🚀
 - Cooper Turley is also joining us as an advisor 🔥
 
We’re honestly just getting started. Variant has roles open from the investment team to community building at Our Network, and we’re actively searching for qualified candidates from a myriad of backgrounds to join our growing team.

This week our contributor analysts cover DEXs: Balancer, 1inch, 0x, and DODO.
- Balancer Liquidity Bootstrapping Pools (LBPs) are growing as a platform for IDOs, with 5 of the token sales in February (xHDX, RAZOR, HOPR, RAD and MASK) combining for $236M USD in volume. This impact is shown in the rotation of the weekly top 5 tokens in volume on Balancer (outside the leading 6).
 

- On February 8th, Aave launched a "proof of liquidity" smart pool on Balancer for staking in their Security Module. In 3 weeks, it has grown into Balancer's largest pool with <$300M in liquidity; aggregating the most liquidity $AAVE has ever had and making it the 5th highest volume token on Balancer.
 

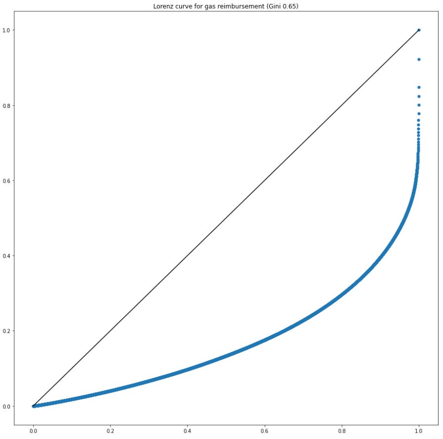
- For 5 weeks, Balancer has paid out gas reimbursements to traders and this will continue for at least 3 more weeks. 17,324 BAL (~$700K) has been distributed to 8,210 unique addresses so far, of which 84% did not hold BAL before the program. 75% received >1.44 BAL, indicating an even distribution.
 

- The TVL of the upgraded 1inch Liquidity Protocol has risen significantly, from $100М to $1.5B (1,500% growth over a 2-month period). 1inch.exchange has achieved a great milestone of more than 1M total swaps and the number of active wallets has continued to climb too, reaching 167k.
 

- The 1inch network has expanded to Binance Smart Chain. The promising move has already gained enormous traction and continues to step up daily. Trading volumes of the 1inch Aggregation Protocol have reached $138M, and the number of swaps totaled 72k+ only in a few days following the integration.
 

- Finally, Version 1.1 has improved the governance procedure on 1inch. Over the last 7 days, 1inch has collected more than $1M (237K 1INCH tokens) to be paid out as governance rewards to our community!
 

- The first 2 months' volume ($12.6B+) on 0x outperformed the entire year of 2020 ($9B). Daily trading volume hit ATH of $455m on Feb 23rd, and the monthly avg. trade size of Feb also doubled the peak record from 2020. With the appreciation in ETH price, ZRX stakers have already earned $1.2M+ in protocol fee rewards.
 

- The 0x team launched v4 protocol recently, with a major upgrade on gas optimization. Its current contract logic reduces gas cost and can save ~4% for Uniswap fills, compared to Uniswap's itself. 0x API and Matcha now support the v4 upgrade. RFQ order volume largely benefited from the upgrade.
 

- New integrations on the 0x API include Totle, dex.guru, LedgerDex, TokenSets and Zerion. Among them, Totle generally brings larger orders in, with an average trade size of $22k since Jan, and $130k for the past week; other new apps serve smaller retail trades, with a relatively larger user base.
 

- In February, DODO released its v2 product suite and trading volume on the platform saw a significant boost, reaching a record-high $102.7M on the 17th. Since then, DODO’s volume has been oscillating in the $40-90M range (a 2-5x increase pre-v2) as market movements continue to fluctuate.
 

- DODO token holders are being drawn to the newly introduced loyalty program and its proof-of-membership token, vDODO. As of March 5, 2,064 addresses have staked a total of more than 16.1 million DODO tokens to earn membership rewards. The exit fee for vDODO has gone down from the initial 15% to 7.6%.
 

- Crowdpooling campaigns, which provide fundraising options for projects and gives users equal access to participate in token launches, are attracting considerable amounts of interest. One campaign that ran from February 22-23 had more than $25M of funds staked by participants in the last three hours.
 




